Chez Shapeheart, on aime bien les calculs.
Alors on va les poser pour expliquer en quoi notre système d'aimant breveté est capable de soulever plus de 8 kg et résiste encore et toujours à la vitesse du vent.
Et on vous explique également tout cela en vidéo 👉

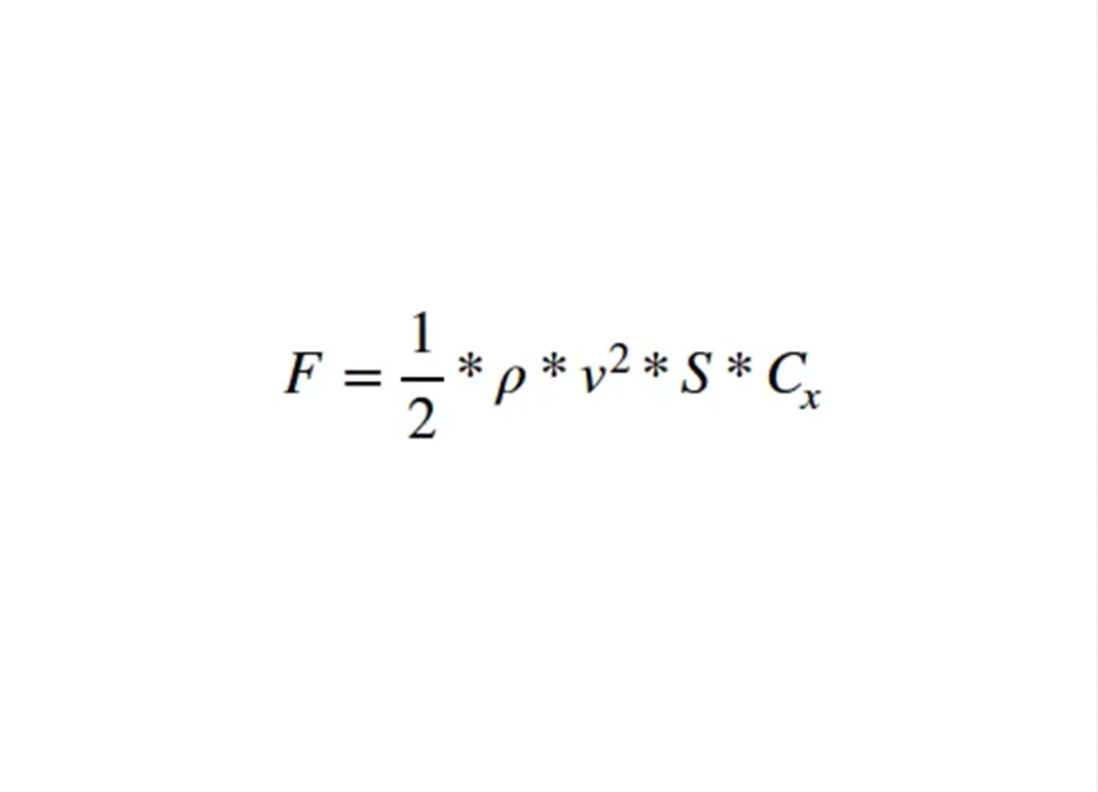
Formule
En écoulement turbulent, la force appliquée par le vent sur la pochette s’exprime comme ci-contre.
Pas de panique, on détaille tous les paramètres en dessous :
• r étant la masse volumique de l’air = 1,292 kg.m-3
• v étant la vitesse en m.s-1
• S la surface de la pochette = 18 * 10 cm2
• Cx le coefficient de trainée = 1,1
• F étant la force exprimée en Newton

Pour 8kg = 80N (N pour Newton) de force de notre système magnétique, la vitesse théorique maximum s'obtient donc avec la formule :.

Vitesse théorique max
Si on trace cette courbe, on obtient :
en Y : la vitesse
en X : la force d'aimantation en N

Ce qui donne pour 80 N soit 8 kg de force du système magnétique la vitesse de 285 km/h :
À noter que dans les faits, cette vitesse est sans doute deux fois plus élevée :
Le téléphone ne se met jamais à 90° (à la verticale) par rapport au vent mais plutôt à 45°la structure de la moto casse et ralenti le flux d'air à proximité du guidon
Envie de découvrir nos derniers articles ...
Article de blog
Donnez à vos clients un résumé de votre article de blog